- 全國統一銷售熱線:
- 北京總部:
- 010-64437473
- 上海:
- 021-62113795
- 深圳:
- 0755-86241216
如何選取高壓清洗機的作業參數
時間:2012-12-12 來源: http://www.keowv.cn
近年來,隨著大型化、智能化、專業化裝備的發展,高壓水射流技術已經在全世界普及應用,行業涉及清洗、切割、除銹等。目前,高壓水射流清洗技術已經成為通用的新技術,高壓清洗機也隨之成為清洗行業的新寵兒,以下主要介紹如何選取高壓清洗機的作業參數。
如何選取高壓清洗機的作業參數:
使用高壓清洗機進行作業時有幾個敏感參數,它們分別是壓力MPa,流量L/min,機組功率KW,射流打擊力、射流反沖力和靶距。
高壓清洗機的構成如下圖所示:

主機泵是實現高能量水射流的源頭。當然,不同參數的泵機組能產生不同能量的水射流,也就能實現不同功能的工程應用。
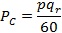
對高壓水泵來說:
公式(1)中,
—泵的有效功率,KW;
P —泵的排出壓力,MPa;
由此可見,要想提升高壓水射流的打擊力從而進行高難度的工程應用就必須提高機組功率,即提高壓力 P,提升水射流的能量,提高流量 q,提升水射流作業的效率。然而,機組功率的提高,一定會大幅提高泵的造價,對泵的運行可靠性要求也隨之提高。此外,還將導致泵機組以外的周邊設備也必須專門設計和制造,因為水射流打擊力的提高將大幅度提升作業范圍,但是隨之增加的水射流反沖力也會造成人拿不住噴槍的現象,所以必須有專門設備作為執行機構。
射流的最大打擊力為:
公式(2)中,F —射流打擊力,N;
d —噴嘴直接,mm;
p —射流壓力,MPa。
由于射流的擴散受空氣阻力等因素影響,實際射流打擊力遠比以上公式理論打擊力小,它不僅取決于射流基本參數,也取決于噴嘴與物體表面間的距離,即靶距。
由:
可得:
公式(5)
公式(5)中,
—打擊中心局部最高壓力,MPa;
V —射流速度,m/s;
E —水的彈性模量,取2×10³MPa;
C —水中聲速,取1140m/s。
由于射流的反沖力存在限制了人工手持高壓噴槍作業的能力,經驗表明,一個人所承受的反沖力不能大于他自身質量的三分之一,也就是說一般應將射流反沖力控制在245.16N,這一限制就要求泵機組功率通常在100kw以內,出于長時間作業的安全考慮,機組功率應該更小,否則,高壓水射流對人體的傷害是非常危險的。
上一篇:壓力釋放效應的實驗研究
下一篇:磨料水射流拋光技術的原理
- 標簽:
- 高壓水射流
- 高壓清洗機
- 作業參數
超高壓水射流初始參數的確定及壓力損失分
2012-11-23
高壓清洗機清洗過程中需注意的五個主要參
2012-05-14
高壓清洗機溢流閥的常見故障分析
2015-01-31
高壓清洗機之連續水射流清洗噴嘴的種類及
2012-05-16
高壓水射流管式空氣預熱器清洗方案—射流
2013-12-17
高壓清洗機日常維護:噴嘴的磨損因素及更
2018-08-22
高壓水去毛刺機專用噴嘴介紹
2018-07-16
高壓水射流破碎混凝土的優點
2018-07-04
高壓清洗機在管道清洗時的注意事項
2018-06-28
高壓水射流清洗安全注意事項
2018-06-20



